







Sách - Phương pháp giải toán chuyên đề Hình học 12 (dùng chung các bộ sgk hiện hành) + ha
Bắt đầu từ năm 2015, Bộ Giáo dục và Đào tạo tổ chức ký thi THPT Quốc Gia với 2 mục đích: Xét tốt nghiệp và tuyển sinh vào các trường Đại học, Cao đẳng.
Để giúp các em ôn thi tốt theo hướng ra đề mới của Bộ, chúng tôi biên soạn bộ sách tham khảo toán 12 gồm 2 quyển:
Phương pháp giải toán chuyên đề Giải tích 12
Phương pháp giải toán chuyên đề Hình học 12
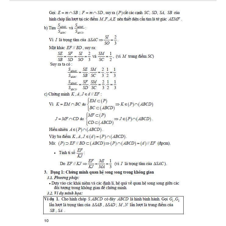
Các quyển được trình bày theo từng chương, bài. Bao gồm
Tóm tắt các kiến thức lý thuyết cơ bản
Phương pháp giải các dạng toán thường gặp và các ví dụ minh họa
Các bài tập rèn luyện kỹ năng
Biên soạn: Nguyễn Văn Nho, Lê Bảy (GV chuyên toán Trường THCS - THPT Nguyễn Khuyến TP. Hồ Chí Minh)
Số trang: 343
Nhà xuất bản: Đại học quốc gia Hà Nội
Nhà phát hành: Nhà Sách Hồng Ân
Ngày xuất bản: 2024
Giá sản phẩm trên Tiki đã bao gồm thuế theo luật hiện hành. Bên cạnh đó, tuỳ vào loại sản phẩm, hình thức và địa chỉ giao hàng mà có thể phát sinh thêm chi phí khác như phí vận chuyển, phụ phí hàng cồng kềnh, thuế nhập khẩu (đối với đơn hàng giao từ nước ngoài có giá trị trên 1 triệu đồng).....
| Công ty phát hành | Nhà Sách Hồng Ân |
|---|---|
| Nhà xuất bản | Nhà Xuất Bản Đại Học Quốc Gia Hà Nội |
| SKU | 4981743347502 |
david walliams python biology mocktail diễn biến hòa bình omega plus việt nam hôm nay và ngày mai thần số học sinh học phân tử của tế bào từ vô hình đến hữu hình vũ vạn xuân ôn tập và luyện thi lớp 10 sinh học phân tử của tế bào tập 1 ôn tập và luyện thi vào lớp 10 và lớp chuyên 10 môn tiếng anh luyện chuyên sâu hệ thống dao động cơ hỏi đáp triết học mega 2021 thpt quốc gia 2021 lovebook sinh học phân tử tuyển tập bài hát hay bồi dưỡng hsg vật lý trường chuyên những góc nhìn đa chiều sách những bài văn đạt giải quốc gia vĩnh bá hỏi đáp triết học mác lênin đại học quốc gia hà nội sinh học phân tử của tế bào bộ 5 cuốn 23 chuyên đề giải 1001 bài toán sơ cấp - tập 2 nghị luận xã hội hoá học 11 hóa học kế hoạch cưới